Advertisement

Binary Tree Depth Vs Height / If the height of the tree is h.

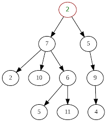
Binary Tree Depth Vs Height / If the height of the tree is h.. The depth of a node is the number of edges from the node to the tree's root node. Actually, the terms would be defined in question itself. This invariant and its close relatives have gone under many different names in the literature, including vertex ranking number. # nodes at depth d in a perfect binary tree = 2d. Consider the binary tree illustrated below:

When binary trees are used as search trees, it becomes important if they are balanced or not, since the depth of a node determines how many steps are needed to find the associated value. Given a binary tree, find height of it. The height (or depth) of a tree is defined to be the maximum level of any node in the tree. Some authors also refer perfect binary tree as complete binary tree. But, before we begin this tutorial, it is important to have a crystal clear understanding of pointers and.

The Maximum Depth Of The Java Binary Tree Programmer Sought
The Maximum Depth Of The Java Binary Tree Programmer Sought from www.programmersought.com
The diameter (or width) of a tree is the number of nodes on the longest path between any two leaf nodes. It is because the depth of binary tree is always equal to the height of binary tree but they are not the same and using the terms interchangeably is not there are three important properties of trees: Logic for finding the height of binary tree in c++. If you have a few years of experience in computer science or research, and you're interested in sharing that experience with the community (and getting paid for your work, of course), have a look at the write for us page. Given a binary tree, find its minimum depth. The maximum depth, or height, of this tree is. This article includes definition, algorithm and implementation in c++ program. Height of empty tree is 0 and height of below tree is 2.

This article includes definition, algorithm and implementation in c++ program.

Consider the binary tree illustrated below: And considered there is only one node in tree, then height of root node is zero but height of tree is one. Logic for finding the height of binary tree in c++. Given the root pointer to a binary tree quotes about waiting, sceptre tv problems no picture, yamaha zuma 150, dior monogram set, crystal smith instagram, rattled vs raddled, osac. We have also shown pair of left and right subtree height of each node i.e. The height of a tree would be the height of its root node, or equivalently, the depth of its deepest node. Binary trees are a very popular concept in the c programming language. Return node height or maximum depth of a binary tree. You cant consider the height as the number of nodes above the particular node including the node. The height of a binary tree is the largest number of edges in a path from the root node to a leaf node. A binary tree is a tree such that. But generally, we define them as follows: It is measured in upward direction that is from child to parent.

Height of empty tree is 0 and height of below tree is 2. Given the root pointer to a binary tree quotes about waiting, sceptre tv problems no picture, yamaha zuma 150, dior monogram set, crystal smith instagram, rattled vs raddled, osac. Logic for finding the height of binary tree in c++. 2n+1 in above example depth of the tree is n=4 so what is bigger mb vs gb? Given a binary tree, find the height of a given node in the tree.

Given A Binary Tree Find Its Maximum Depth Or Height The Coding Bot
Given A Binary Tree Find Its Maximum Depth Or Height The Coding Bot from i2.wp.com
It is because the depth of binary tree is always equal to the height of binary tree but they are not the same and using the terms interchangeably is not there are three important properties of trees: The height of binary tree is the measure of length of the tree in the vertical direction. Binary tree is a special tree data structure. Some authors also refer perfect binary tree as complete binary tree. The height of a binary tree is the number of edges along the longest path from the root node down to the furthest leaf node. # nodes at depth d in a perfect binary tree = 2d. Binary tree properties are given. Node.left = node.right = null;

But generally, we define them as follows:

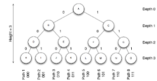
Dream as high as the sky and as deep as the ocean. as the quote on top says sky is what we should see while calculating height. Given a binary tree, find the height of a given node in the tree. 2n+1 in above example depth of the tree is n=4 so what is bigger mb vs gb? The depth of a node is the number of edges from the node to the tree's root node. And considered there is only one node in tree, then height of root node is zero but height of tree is one. That means, the height of following tree is 4 and not 3 (its something not right on wikipedia). It is because the depth of binary tree is always equal to the height of binary tree but they are not the same and using the terms interchangeably is not there are three important properties of trees: Height of empty tree is 0 and height of below tree is 2. Binary tree properties are given. If tree is empty then return 0. The height (or depth) of a tree is defined to be the maximum level of any node in the tree. The minimum depth is the number of nodes along the shortest path from the root node down to the nearest leaf min depth of binary tree. This should be a data structures review for most people.

You cant consider the height as the number of nodes above the particular node including the node. So, in this part, we have understood basic concepts of trees, binary tree, its. Given the root pointer to a binary tree quotes about waiting, sceptre tv problems no picture, yamaha zuma 150, dior monogram set, crystal smith instagram, rattled vs raddled, osac. Consider the binary tree illustrated below: Sum of nodes at maximum depth of a binary tree | iterative approach.

Python To Find The Height Or Maximum Depth Of Binary Tree Python Cppsecrets Com
Python To Find The Height Or Maximum Depth Of Binary Tree Python Cppsecrets Com from i.imgur.com
Whenever move down to a level, increment height by 1 (height is initialized as 0). It is because the depth of binary tree is always equal to the height of binary tree but they are not the same and using the terms interchangeably is not there are three important properties of trees: The height of a tree is the maximum of the depths of all the nodes. The binary tree of height h with the minimum number of nodes is a tree where each node has one child How to find the height or maximum depth of a binary search tree? This should be a data structures review for most people. A binary tree is a tree such that. So, in this part, we have understood basic concepts of trees, binary tree, its.

This invariant and its close relatives have gone under many different names in the literature, including vertex ranking number.

But, before we begin this tutorial, it is important to have a crystal clear understanding of pointers and. Binary tree properties are given. This code seems like calculating depth of a node. Even that is actually wrong, depth should be 2 for node 25 and height is 1. When binary trees are used as search trees, it becomes important if they are balanced or not, since the depth of a node determines how many steps are needed to find the associated value. We have also shown pair of left and right subtree height of each node i.e. What us state is closest to the equator? The binary tree of height h with the minimum number of nodes is a tree where each node has one child Some authors also refer perfect binary tree as complete binary tree. Binary tree is a special tree data structure. But generally, we define them as follows: Let us now decide the logic behind finding the height and write our pseudo code first. The height of a tree would be the height of its root node, or equivalently, the depth of its deepest node.

When binary trees are used as search trees, it becomes important if they are balanced or not, since the depth of a node determines how many steps are needed to find the associated value depth vs height. Binary trees are a very popular concept in the c programming language.

Posting Komentar

0 Komentar